| Roots | ||
|
Both soil acidification and nitrogen affect roots negatively. In soils with a low base saturation the rooting depth is decreased, with possible consequences for the mechanical stability. The proportion of trees which were uprooted by the gale "Lothar" was increased on soils with a low base saturation by a factor of 4.8 in beech and by a factor of 3.6 in Norway spruce. |
||
![]() |
||
| In soils with a low base saturation and in soils with hydromorphic signs the rooting depth is decreased. | ||
![]() |
Damages by the gale "Lothar" in a forest observation plot. | |
|
||
| The proportion of trees which were uprooted by the gale "Lothar" was increased on soils with a low base saturation. | ||
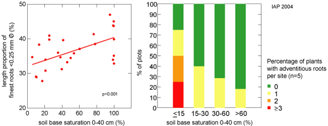
| The finest roots which are essential for nutrient and water uptake are especially sensitive to soil acidification. The length proportion of these finest roots in young beech trees is significantly reduced in soils with a low base saturation. Also, more adventitious roots are formed. | ||
![]() |
||
| The length proportion of the finest roots, with a diameter of <0.25 mm, is significantly decreased in soils with a low base saturation (left) and the frequency of plants with adventitious roots is increased (right). | ||
![]() |
Finest roots of beech. | |
| Nitrogen, too, affects the finest roots. Their length proportion decreases with increasing nitrogen deposition. | ||
![]() |
The higher the nitrogen input was th the observation plot, the lower was the length proportion of the finest roots. | |